We live in a world of super-sizing everything:
From sodas to coffee, fries, meals, cars, and houses, bigger always seems to be better. This is no different in photography. From larger bodies, to larger bags to more Megapixels, we are constantly in pursuit of something “bigger and better.” The idea behind all of this is that the bigger the camera is, or the more megapixels you have, the larger you can print (or the more you can crop and still get a decent print). This is true for the most part. Higher MP counts translate to higher sensor resolution (note that the sensor size isn’t changing, just the resolution). The higher sensor resolution then ultimately translates to higher print sizes. Serious photo enthusiasts know though, that it’s not in the megapixels, the sensors, the cameras, or even the lenses. Truly great prints come from capturing something unique and wonderful that you see with your own eye. Having said that, we are still obsessed with creating the biggest prints we can – after all, the larger the print, the more we can “wow” our clients, right?
Sensor resolution is, by and large, the single most important determinant of how big you will be able to print a particular image. It’s a simple matter of math, native print size will vary as a function of the number of pixels on the sensor. You may get more noise has MP counts ratchet up on identical sensors, but the more pixels you can fit, the larger you can print.
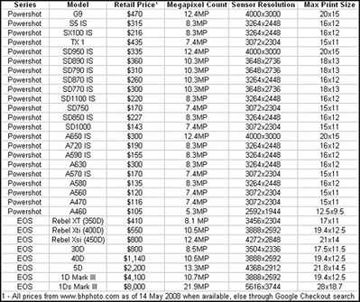
So, that only makes one wonder – what are the maximum print sizes for various cameras? No one tells you that. You can read all about the Digic III sensor from Canon to Nikon’s CCD sensors, and onto the 4/3rds sensor from Olympus. You can also find out everything from the MP counts to frame rates, lens mounts, and a host of other information, but I have yet to find a vendor that publishes a maximum print size in terms we can understand. Instead, they just give us the sensor resolution. But that doesn’t help. We need to know how that resolution translates into prints! Paper sizes aren’t measured in pixels, they are measured in inches! Well, no fear, I’ve taken care of all the legwork and put together a spec sheet for all the cameras currently listed in Canon’s product line. So, without further ado, here are the current Canon cameras, replete with model, current retail price, MP count, sensor size, and max print size. Enjoy!

Got a camera other than Canon or an older model? Well then, unfortunately it’s a little trickier for you, because you actually need to know 2 things. First, it’s helpful to know that as a general rule of thumb, your maximum print size is proportional to your sensor resolution. Second, you need to know your sensor resolution. To figure out your maximum print size, divide your sensor resolution by 200. For example, the Nikon D80 has a sensor resolution of 3872×2592. So, the max print size would be 3872/200 x 2592/200, or 19″x12″. This is, of course, only taking into account the native resolution of any sensor. Up-sizing programs can adjust for this, but that would no longer be a native measurement.
P.S. I do have this as a worksheet in a larger Excel workbook…other sheets include the Canon lens list, a sunrise/sunset calendar, and bunches of other goodies. If anyone is interested in that, drop me an email! Good stuff in there…